• Предмет: Алгебра
  • Автор: типичныйшкольник007
  • Вопрос задан 2 года назад

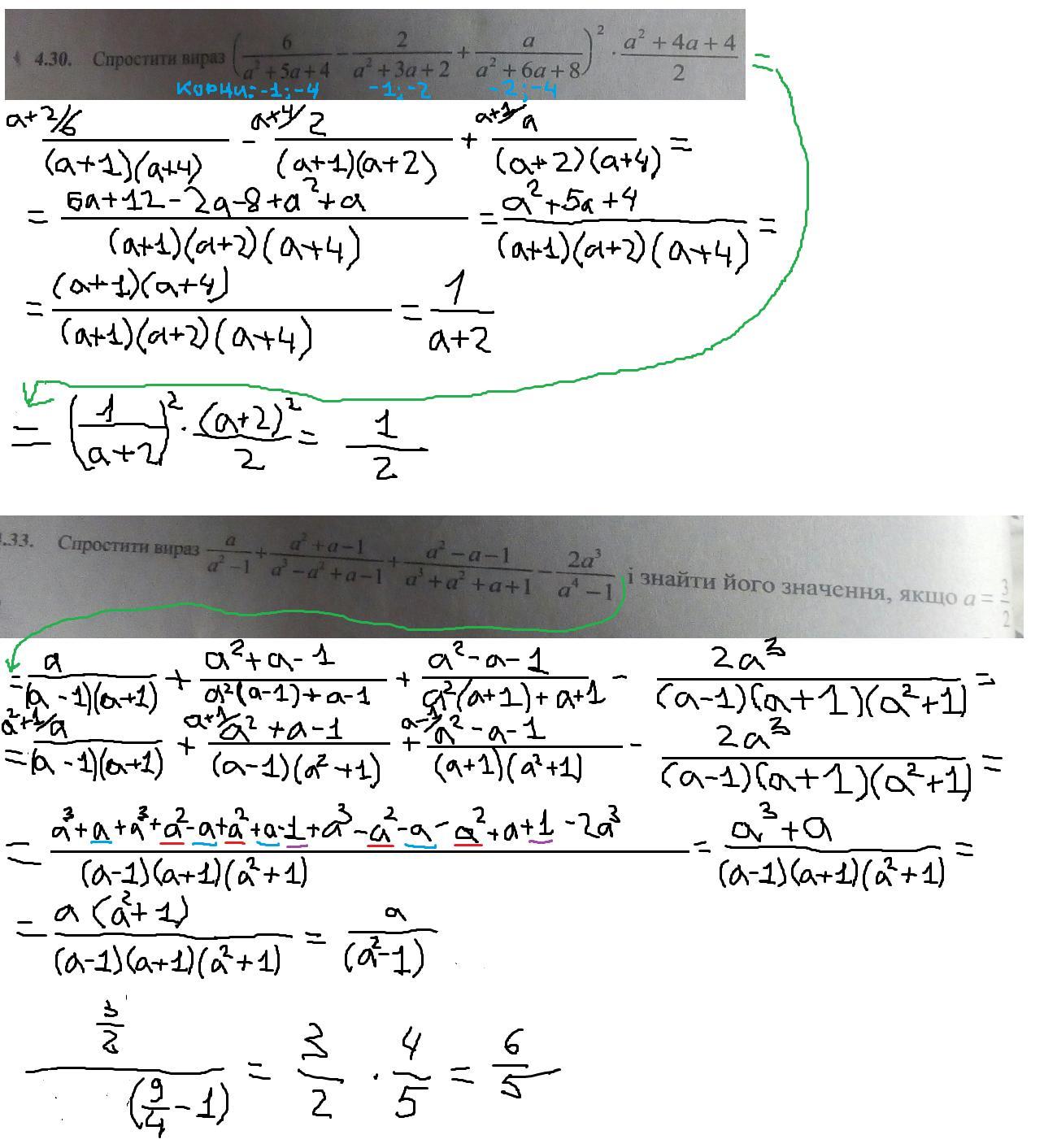
100 БАЛОВ!!!!!! ТОЛЬКО 2 УРАВНЕНИЯ ПО АЛГЕБРЕ 4.30 И 4.33!!! ОСТАЛЬНОЕ НЕ НАДО!!!!.

Приложения:

Аноним: Это не уравнения

Ответы

Ответ дал: solving05
1

Ответ:

Объяснение:

Решение в приложении

Приложения:

Аноним: Ошибка. Вы вынести за скобки должны были a, поэтому будет a(a^2+1) что только сократятся (a^2+1)
solving05: Исправил
Аноним: Ок.
типичныйшкольник007: Извините, как вы разложили знаменатель первого выражения на множители?
Вас заинтересует