• Предмет: Математика
  • Автор: ДДДДДДДДД9
  • Вопрос задан 2 года назад

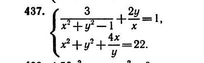
помогите!..............


.​

Приложения:

Ответы

Ответ дал: dnepr1
2

Введём замену: x² + y² = a,   y/x = b.

Исходная система примет вид:

{(3/(a - 1)) +2b = 1,

{a + (4/b) = 22.

Применим способ подстановки. Для этого из второго уравнения определяем переменную  b.

b = -4/(a - 22).

(3/(a- 1)) - (8/(a - 22)) = 1,

3a - 66 -8a + 8 = a² -a -22a + 22,

Получено квадратное уравнение a² - 18a + 80 = 0.

Квадратное уравнение, решаем относительно a:  

D=(-18)^2-4*1*80=324-4*80=324-320=4;

Дискриминант больше 0, уравнение имеет 2 корня:

a_1=(√4-(-18))/(2*1)=(2-(-18))/2=(2+18)/2=20/2=10;

a_2=(-√4-(-18))/(2*1)=(-2-(-18))/2=(-2+18)/2=16/2=8.

Определяем b_1 = -4/(10 - 22) = -4/-12 = 1/3.

                       b_2 = -4/(8 - 22) = -4/-14 = 2/7.

Обратная замена.

{x² + y² = 10,           x² + (x²/9) = 10.     10x²  = 90,     x = +-3.

{x/y = 1/3.   y = x/3.                                                     y = +-1.

{x² + y² = 8,           x² + (4x²/49) = 80.     53x²  = 392,     x = +-14√(2/53).

{x/y = 2/7.   y = 2x/7.                               y = +-28√(2/53)/7 = +-4√(2/53).          

Ответ дал: Аноним
2

Ответ: во вложении Пошаговое объяснение:

Приложения:
Вас заинтересует