Ответы
Ответ дал:
1
Ответ:
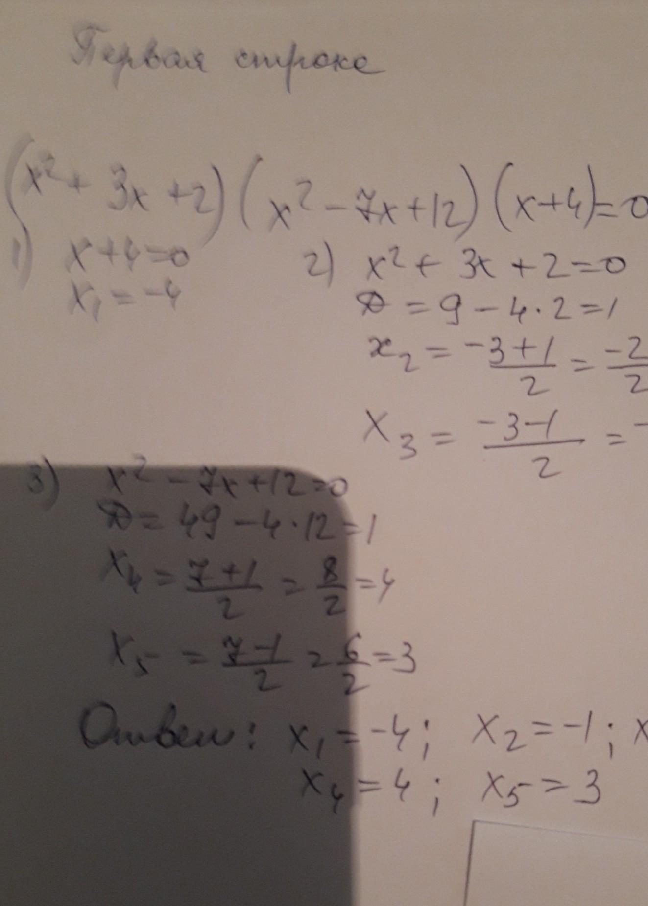
x^2+3x+2=0
x^2-7x+12=0
x+4=0
x=-2
x=-1
x=3
x=4
x=-4
x1=-4,x2=-2,x3=-1,x4=3,x5=4
Ответ дал:
1
Ответ:
Это уравнение имеет пять различных корней .
Приложения:

Вас заинтересует
1 год назад
1 год назад
1 год назад
3 года назад
3 года назад
8 лет назад
8 лет назад