Ответы
Ответ дал:
0
Ответ:
Объяснение:
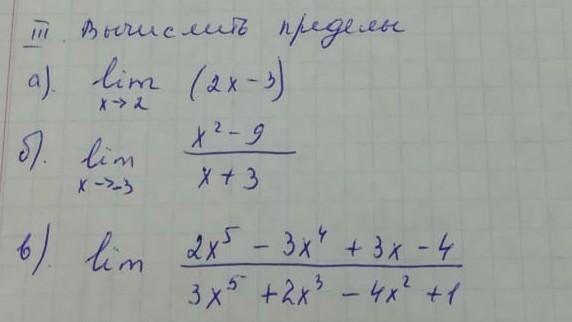
Просто берешь число, к которому стремится X, и подставляешь в X. Ничего сложного. Сделаешь так же под в)
Приложения:

Вас заинтересует
1 год назад
1 год назад
1 год назад
1 год назад
3 года назад
3 года назад
8 лет назад