• Предмет: Алгебра
  • Автор: WwwALEXwwW
  • Вопрос задан 2 года назад

Срочно!!! Даю 20 баллов!!!​

Приложения:

Ответы

Ответ дал: LFP
0

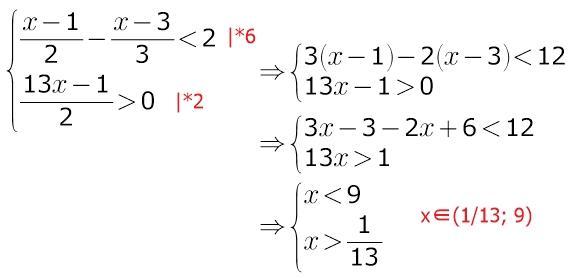
Ответ: x ∈ (¹/₁₃; 9)

Объяснение:

обе части неравенства можно умножить на одно и то же число;

если это число положительное ---> знак неравенства НЕ изменится,

если это число отрицательное ---> знак неравенства изменится,

Приложения:
Вас заинтересует