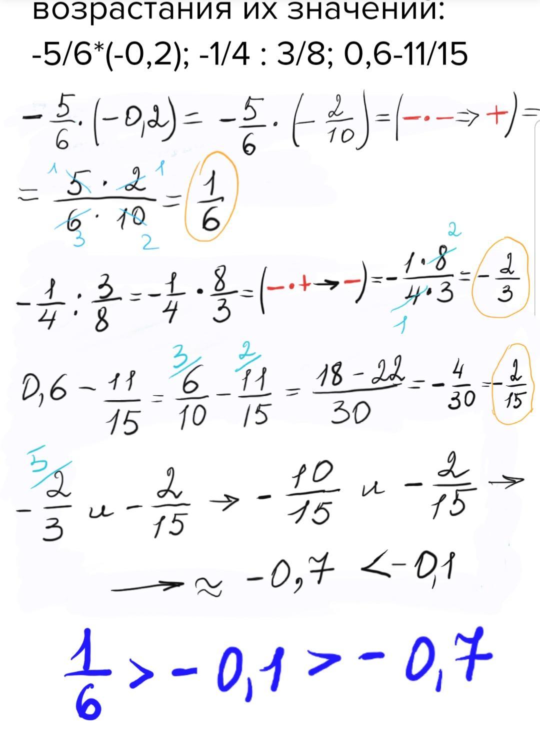
расположите числовые выражения в порядке возрастания их значений: -5/6*(-0,2); -1/4 : 3/8; 0,6-11/15
Ответы
Ответ дал:
2
-1/4 :3/8 < 0,6-11/15 <-5/6•(-0,2)
Приложения:

vikavaselek:
большое пасибо
Вас заинтересует
1 год назад
1 год назад
1 год назад
3 года назад
3 года назад
8 лет назад
8 лет назад