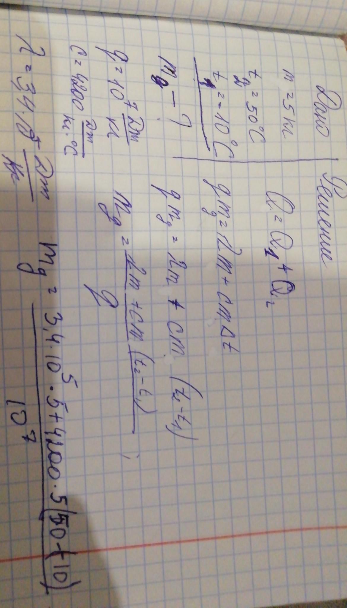
Какую массу дров надо сжечь для того, чтобы изо льда массой 5 кг получить воду с температурой 50 0С? Начальная температура льда -10 0С. Считать, что потерь тепла нет.
Ответы
Ответ дал:
0
Объяснение:
В конце немного не уместил, вот продолжение
= 0,296 (кг)
Ответ: m(дров)= 0,296 (кг)
Приложения:
Вас заинтересует
2 года назад
2 года назад
2 года назад
3 года назад
3 года назад
9 лет назад