Ответы
Ответ дал:
0
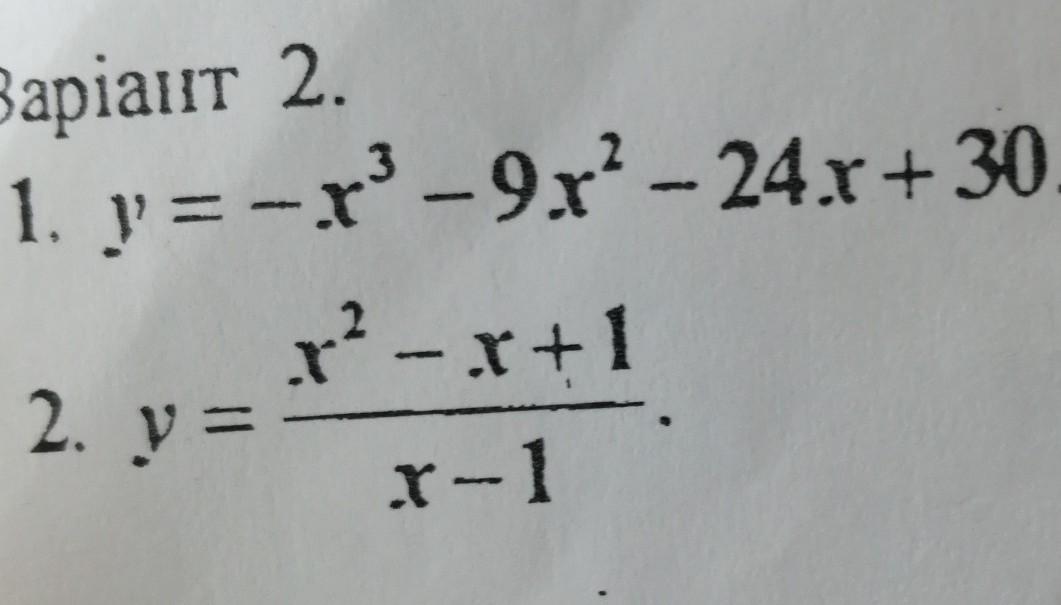
Если задание заключается в том, чтобы найти производную
Приложения:

Ответ дал:
0
Ответ:
2. далее 0=х2-х+1/х-1 ; х=∅
Вас заинтересует
1 год назад
1 год назад
1 год назад
3 года назад
3 года назад