Ответы
Ответ дал:
0
Ответ:
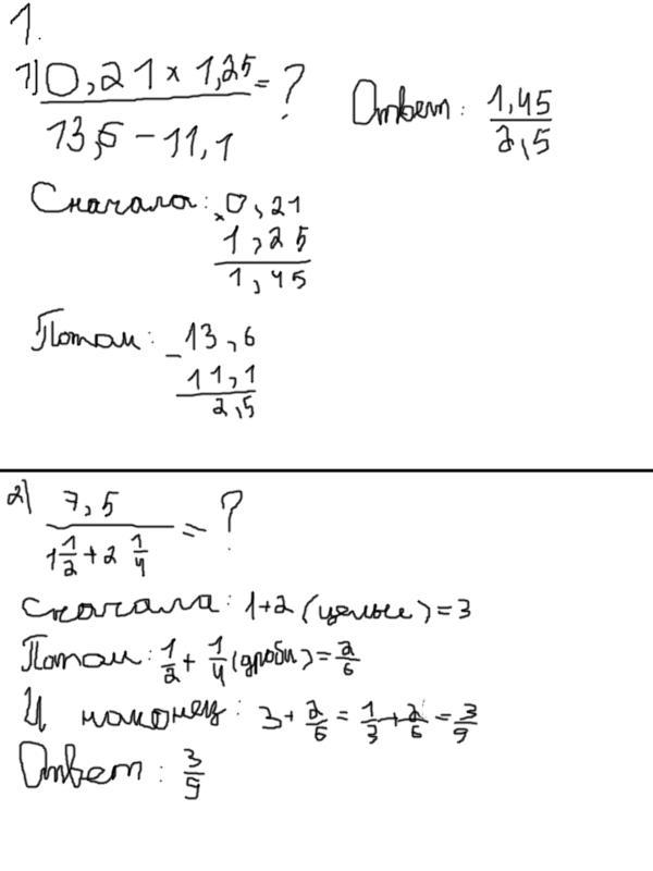
Пошаговое объяснение:
Приложения:

tuhvatulina050206:
не правильно ты дроби сложил . знаменатель там другой
Ответ дал:
2
Ответ:
вот все правильно должно быть
Приложения:

Вас заинтересует
1 год назад
1 год назад
1 год назад
1 год назад
3 года назад
8 лет назад
8 лет назад