• Предмет: Алгебра
  • Автор: stepamudryi
  • Вопрос задан 2 года назад

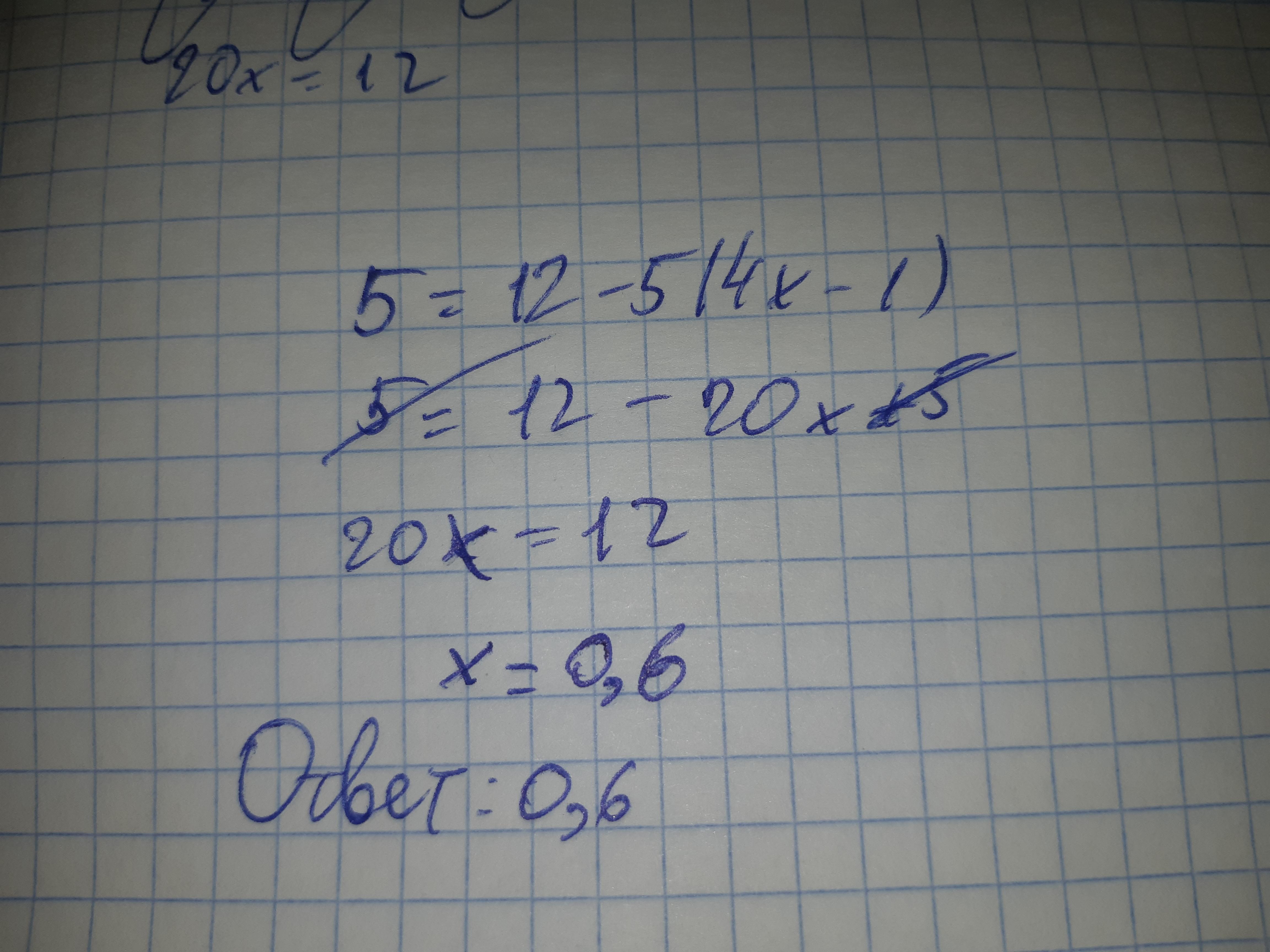
решите уравнение 5=12-5 (4Х-1)

Ответы

Ответ дал: denis12hamster
25

Решение и ответ на фото.

Приложения:
Вас заинтересует