• Предмет: Алгебра
  • Автор: memphiss34
  • Вопрос задан 2 года назад

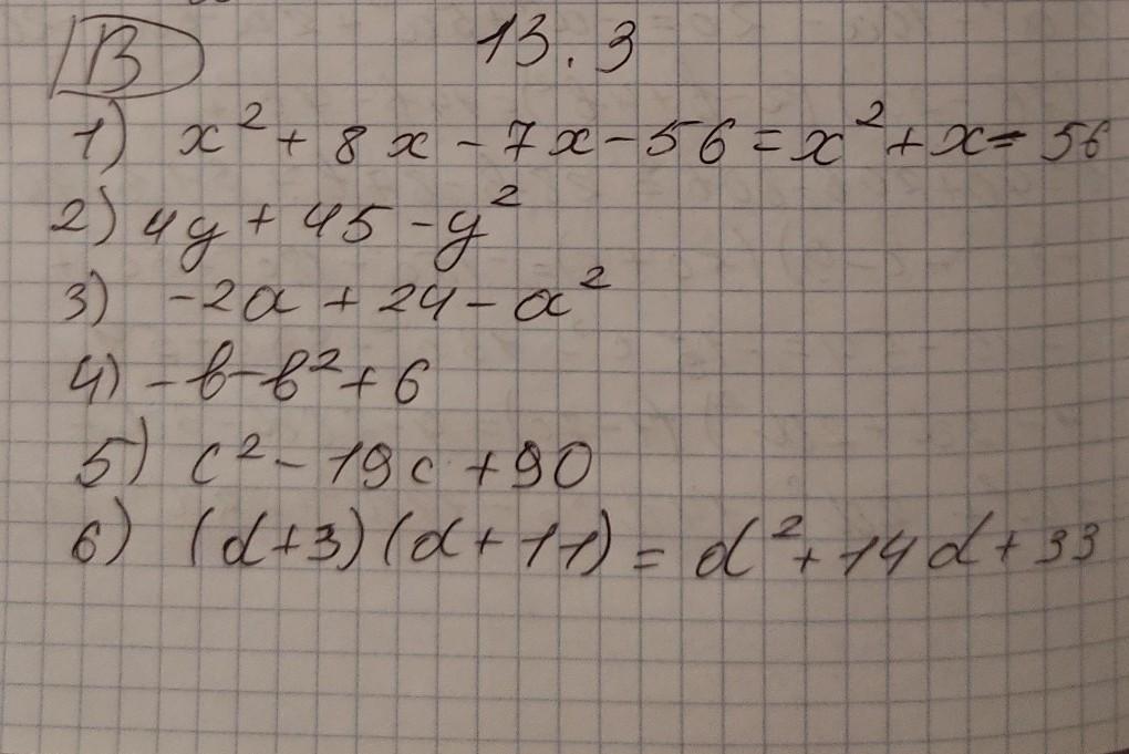
13.3. 1)(x - 7) (x + 8);
3)(a + 6) (4- a);
5)(10 - c)(9 - c);
2) (9 - y) (y + 5);
4) (2 - b)(b + 3);
6) (d + 3) (d + 11).
Запишите в виде многочленов произведения.​

Ответы

Ответ дал: johnnydepp2
33

Ответ:

Вот пожалуйста пиши равно и сразу это

Приложения:
Вас заинтересует