Ответы
Ответ дал:
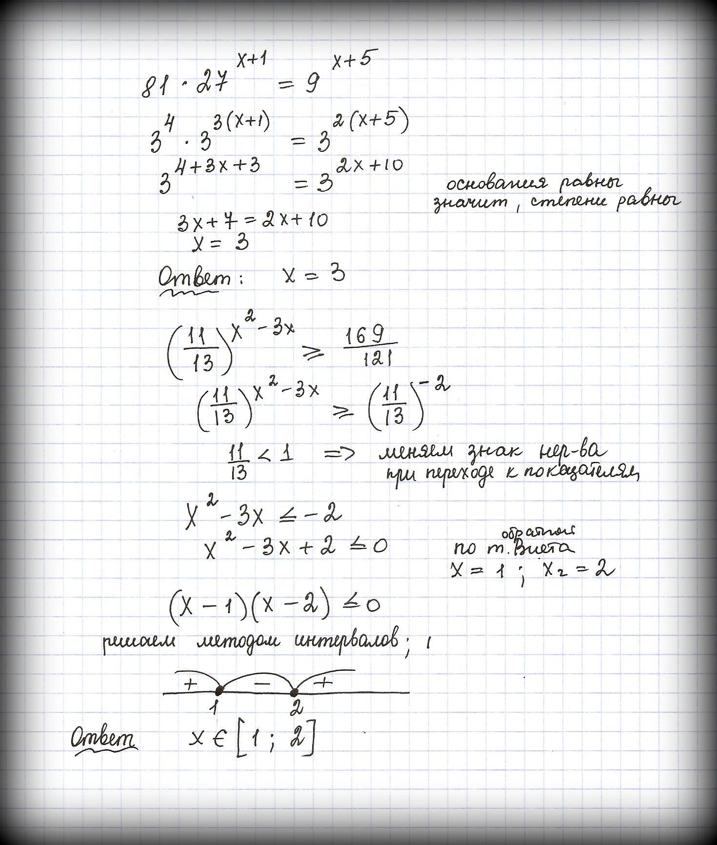
3
Ответ:
Пошаговое объяснение:
================================
Приложения:

Вас заинтересует
1 год назад
1 год назад
3 года назад
3 года назад
8 лет назад