• Предмет: Алгебра
  • Автор: Bui
  • Вопрос задан 2 года назад

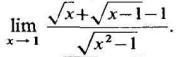
Найдите предел
\lim_{x \to \ 1} \frac{\sqrt{x}+\sqrt{x-1} -1}{\sqrt{x^{2}-1} }

Приложения:

Ответы

Ответ дал: igundane
1

\lim_{x \to 1}(\frac{\sqrt{x}+\sqrt{x-1}-1}{\sqrt{x^2-1} } )= \lim_{x \to 1} (\frac{\frac{1}{2\sqrt{x} }+\frac{1}{2\sqrt{x-1} }}{\frac{x}{\sqrt{x^2-1} } })= \lim_{x \to 1} (\frac{(\sqrt{x-1}+\sqrt{x})\sqrt{x^2-1}}{2x\sqrt{x(x-1)}})=\\= \lim_{x \to 1} (\frac{\sqrt{x^2-1}+\sqrt{x^2+x}}{2x\sqrt{x} } ) =\frac{\sqrt{1-1}+\sqrt{1+1}}{2}=\frac{\sqrt{2} }{2}


Bui: Что в первом действии произошло?
igundane: Правило Лопиталя.Продифференцировал
Вас заинтересует