• Предмет: Математика
  • Автор: ver5132
  • Вопрос задан 2 года назад

вычислите значение выражения наиболее удобным способом. ​

Приложения:

Ответы

Ответ дал: Аноним
6

Ответ:

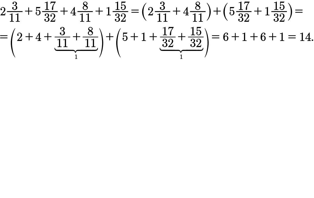
2 3/11+ 5 17/32+4 8/11+1 15/32=14

Пошаговое объяснение:

1)2 3/11+4 8/11=6 11/11=7

2)5 17/32+1 15/32=6 32/32=7

3)7+7=14

Ответ дал: Medved23
6

Ответ: 14

Пошаговое объяснение: во вложении.

Приложения:
Вас заинтересует