• Предмет: Физика
  • Автор: DyuXyu
  • Вопрос задан 2 года назад


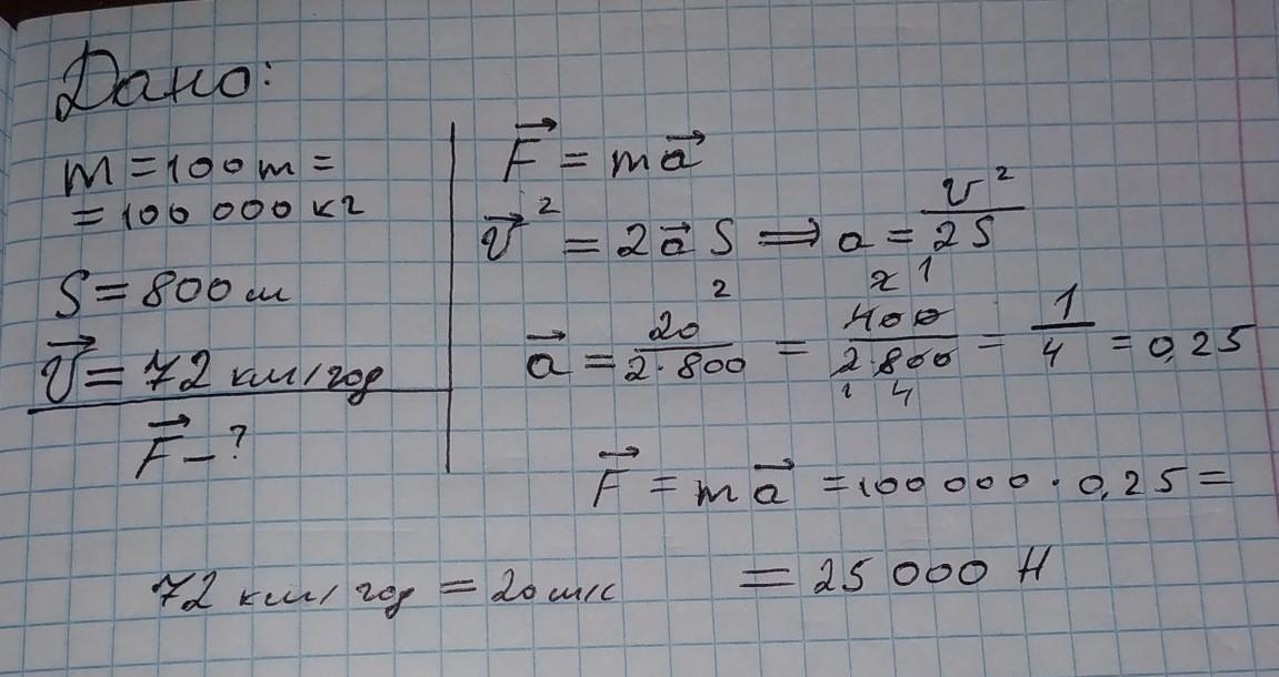
Потяг масою 100 т, вирушаючи від станції, рухався рівноприскорено. Подолавши 800 м, він набув швидкості 72 км/год. Визначте силу, що надавала потягу прискорення

Ответы

Ответ дал: VitalikMaksymchuk
19

Ответ:

F=25000Н=25кН

Объяснение:

рисунок

Приложения:
Вас заинтересует