• Предмет: Математика
  • Автор: лина8900
  • Вопрос задан 2 года назад

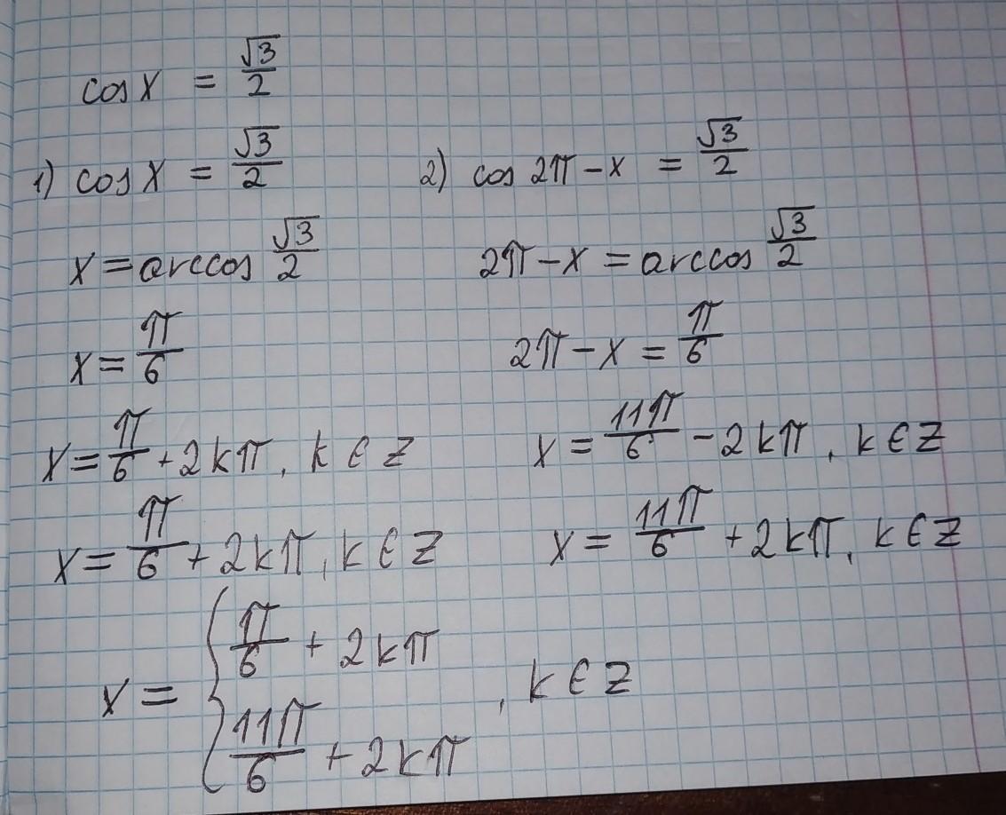
Решите уравнение;
Cos x=✓3\2

Ответы

Ответ дал: VitalikMaksymchuk
1

рисунок....................

Приложения:
Вас заинтересует