Шар пересечен плоскостью,отстоящей от его центра на 8 см. Площадь полученного сечения 125 пи см^2 .Найти радиус шара. помогиите
Ответы
Ответ дал:
0
В сечении круг, площадь его S= Pi*r^2 = Pi *125 по условию.
r^2 = 125,
Если сбоку на сечение глянешь, можно выделить треугольник-
Один катет полученный радиус, второй – расстояние до плоскости,
Радиус равен гипотенузе.
R^2 = r^2 + h^2; R^2 = 125+ 8^2 = 189
R= 13.75
(13.74772708)
r^2 = 125,
Если сбоку на сечение глянешь, можно выделить треугольник-
Один катет полученный радиус, второй – расстояние до плоскости,
Радиус равен гипотенузе.
R^2 = r^2 + h^2; R^2 = 125+ 8^2 = 189
R= 13.75
(13.74772708)
Ответ дал:
0
с яндекса слизал? я это находила..вроде это не правильно
Ответ дал:
0
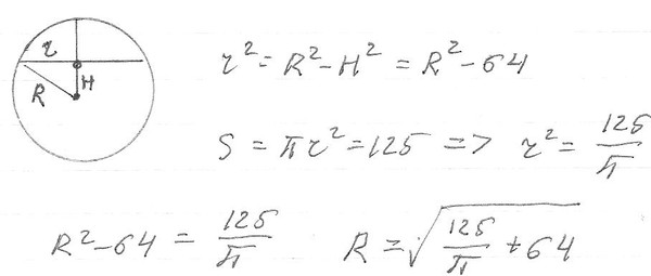
.............................вот вроде правильно
Приложения:
Ответ дал:
0
это есть там же откуда я взял свой ответ
Ответ дал:
0
блиин ребят, я не прошу вас скидывать решения с яндекса, так я тоже могу тупо списать, я прошу вас решить мне эту задачу самим, со всеми объяснялками..а такие решения мне не нужны!
Вас заинтересует
3 года назад
3 года назад
8 лет назад
8 лет назад
11 лет назад
11 лет назад