Ответы
Ответ дал:
0
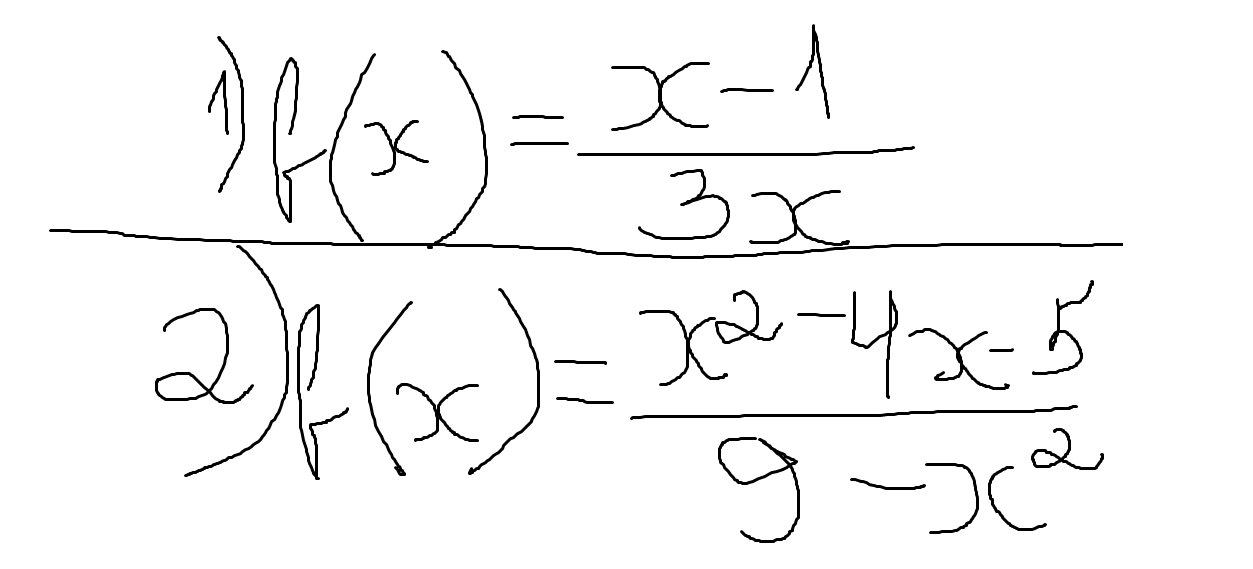
a) (x-1)/3x>0
__>___0__<__1___>___
f(4)=(4-1)/12=3/12>0
x<0 U x>1 функция положительна
0<x<1 функция отрицательна
б) (x^2-4x-5)/(9-x^2)
(x+1)(x-5)/(3-x)(3+x)
f(0)=1*(-5)/3*3<0
_<___-3__>__-1___<___3__>___5__<___
функция отрицательна x<-3 U (-1;3) U x>5
функция положительна (-3;-1) U (3;5)
__>___0__<__1___>___
f(4)=(4-1)/12=3/12>0
x<0 U x>1 функция положительна
0<x<1 функция отрицательна
б) (x^2-4x-5)/(9-x^2)
(x+1)(x-5)/(3-x)(3+x)
f(0)=1*(-5)/3*3<0
_<___-3__>__-1___<___3__>___5__<___
функция отрицательна x<-3 U (-1;3) U x>5
функция положительна (-3;-1) U (3;5)
Вас заинтересует
3 года назад
8 лет назад
8 лет назад
11 лет назад
11 лет назад
11 лет назад