• Предмет: Алгебра
  • Автор: aneta1937
  • Вопрос задан 2 года назад

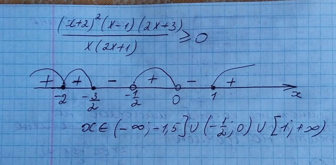
(х+2)^2(x-1)(2x+3)/(х(2x+1)>=o Решите неравенство методом интервалов


Ответы

Ответ дал: lilyatomach
9

Ответ:

решение представлено на фото

Приложения:
Вас заинтересует