• Предмет: Алгебра
  • Автор: am0jts
  • Вопрос задан 2 года назад

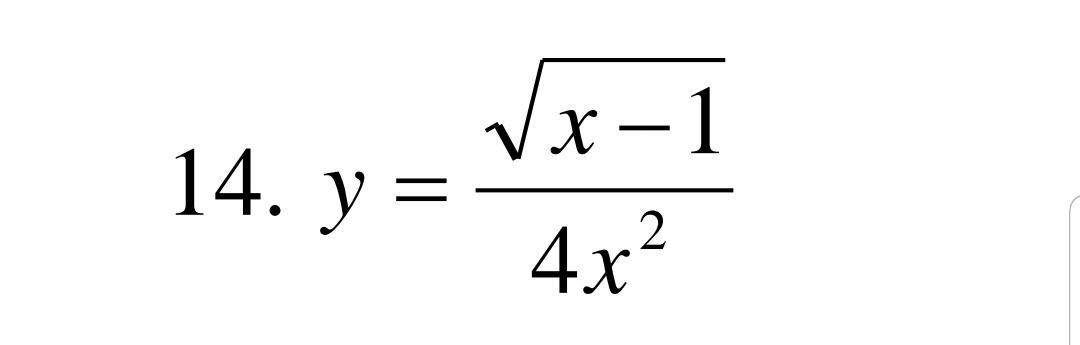
Найти производную. Тема: математический анализ.

Приложения:

Ответы

Ответ дал: NNNLLL54
1

y=\frac{\sqrt{x-1}}{4x^2}\\\\y'=\frac{\frac{1}{2\sqrt{x-1}}\cdot 4x^2-8x\cdot \sqrt{x-1}}{(4x^2)^2}=\frac{2x^2-8x\cdot (x-1)}{\sqrt{x-1}\, \cdot \, 16x^4}=\frac{x^2-4x^2+4x}{8x^4\cdot \sqrt{x-1}}=\frac{-3x+4}{8x^3\cdot \sqrt{x-1}}

Вас заинтересует