Ответы
Ответ дал:
0
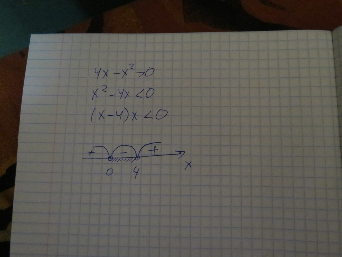
под логарифмом может быть только полож число, т.е. 4x-x^2>0, решаем это неравенство
x(x-4)<0 Далее рисуем ось х, отмечаем точки 0 и 4.
ответ x принадлежит (0,4)
На оси штрихом обозначен интересующий нас промежуток (0,4) ,к-ый и есть ответ
x(x-4)<0 Далее рисуем ось х, отмечаем точки 0 и 4.
ответ x принадлежит (0,4)
На оси штрихом обозначен интересующий нас промежуток (0,4) ,к-ый и есть ответ
Приложения:
Ответ дал:
0
если вы учитель в меде, то пишите что они равны, но знайте что ПИ - это бесконечное число, 3,14159........ поэтому на самом деле логарифм будет меньше чем 1
Ответ дал:
0
а как правельно написать?
Ответ дал:
0
по идее верно будет что логарифм меньше 1 т.е. если спросят, то скажешь, что число пи я считала не равным точно 3,14, а число пи - это бесконечное число, 3,14159......
Вас заинтересует
3 года назад
8 лет назад
11 лет назад
11 лет назад
11 лет назад