• Предмет: Алгебра
  • Автор: tqjsychfkeyaxeudn
  • Вопрос задан 2 года назад

Решите пжжж дам 30 баллов

Приложения:

Ответы

Ответ дал: Аноним
0

Объяснение:

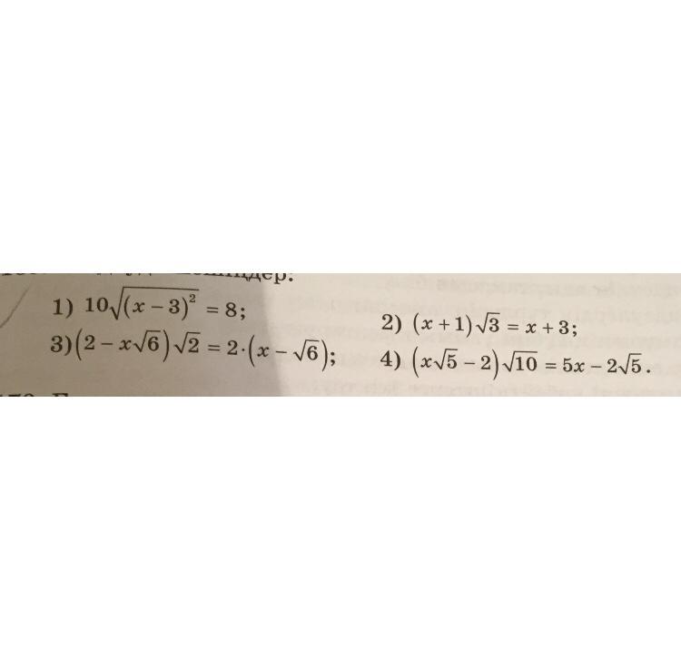
10√(х-3)^2=8

10х-30=8

10х=8+30

х=38/10=3,8

(х+1)√3=х+3

√(3(х+1)^2=х+3

3(х^2 +2х+1)=(х+3)^2

3х^2 +6х+3=х^2 +6х+9

3х^2 +6х-х^2 -6х=9-3

2х^2=6

х^2=6/2

х=√3

(2-x√6)√2=2·(x-√6)

2-x√6=√2 ·(x-√6)

2-x√6=x√2 -√(2·6)

x√6 +x√2=2+√12

x(√6 +√2)=2+√12

x²(√6 +√2)²=(2+√12)²

x²(6+2√12 +2)=4+4√12 +12

x²(8+2√12)=16+4√12

2x²(4+√12)=4(4+√12)

x²=2

x=√2

(x√5 -2)√10=5x-2√5

(x√5 -2)√10=√5(x-2√5)

(x√5 -2)√2=x-2√5

(x√5 -2)²·√2²=(x-2√5)²

2(5x²-4x√5 +4)=x²-4x√5 +20

10x²-4x√5 -x²+4x√5=20-4

9x²=16

x²=16/9

x=4/3=1 1/3

Вас заинтересует