• Предмет: Математика
  • Автор: dameliutesheva
  • Вопрос задан 2 года назад

пожалуйста помагиииите​

Приложения:

Ответы

Ответ дал: 89086001209
3

Ответ:

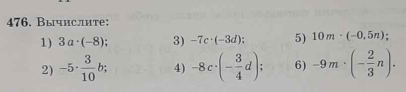
1) -24a

2) -1,5b

3) 21cd

4) 6cd

5) -mn

6) 6mn

Пошаговое объяснение:

Ответ дал: 99tasha
1

1) =-24a

2) =-1 1/2b

3) =21cd

4) =6cd

5) = -5mn

6) =6mn

Вас заинтересует