• Предмет: Алгебра
  • Автор: Xlz
  • Вопрос задан 2 года назад

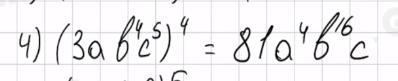
кАк так получилось что у В4 получилось В16?

Приложения:

Ответы

Ответ дал: Areshiktoday
0

Ответ:

по правилу получилось что

Объяснение:

4*4=16


Xlz: Это понятно,а почему 4 уехала за A,а 5 превратилась видимо в 4?
Ответ дал: katyandra
1

Ответ:

Мы раскрываем скобки ,важно обратить внимание ,что вся скобка в 4 степени.  ВАЖНО ЗАПОМНИТЬ ФОРМУЛУ (a^x)^y = a^x*y ,где ^ - знак степени,а * - знак умножения

Объяснение:

3 мы возводим в 4ю степень получаем 81, затем число a (которое было у нас в 1й степени мы возводим в 4ю степень.Теперь b ,котрая прежде была в 4й степени мы возводим в еще одну чертвертую степень (по формуле: (b^4)^4 = b^4*4 = b^16

Вас заинтересует