Ответы
Ответ дал:
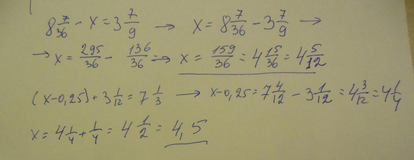
1
!!!!!!!!!!!!!!!!!!!!!!!!!!!!!!
Приложения:

Ответ дал:
1
Пошаговое объяснение:
Вас заинтересует
1 год назад
1 год назад
3 года назад
3 года назад
8 лет назад