• Предмет: Алгебра
  • Автор: callmesun
  • Вопрос задан 2 года назад

ПОМОГИТЕ ПОЖАЛУЙСТА!!!!!!

Приложения:

Ответы

Ответ дал: lida2708
0

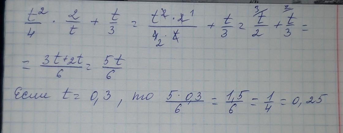
Ответ:

решение на фото

........ .....

Приложения:
Вас заинтересует