Решите пожалуйста пример по порядку с объяснением:
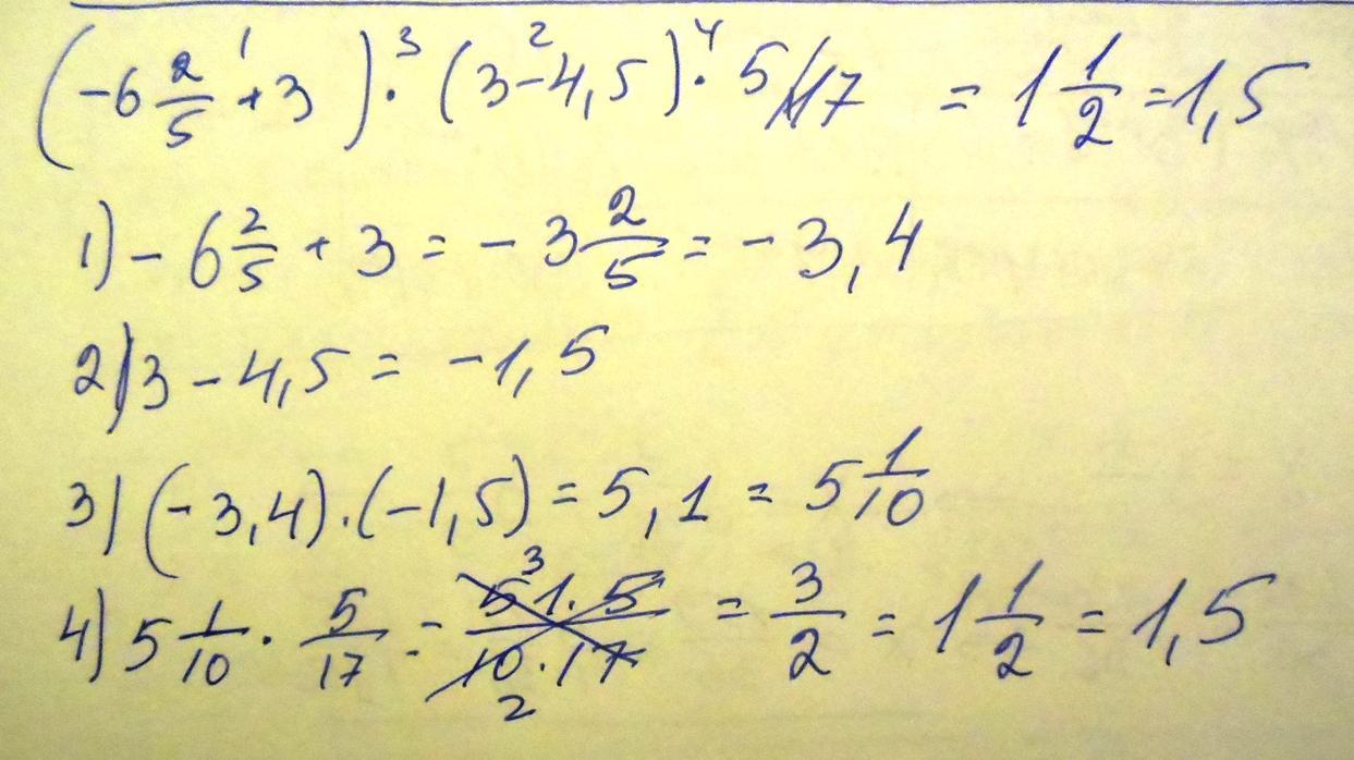
(-6 2/5+3)×(3-4,5)×5/17
ПРОСТО ХОЧУ ПРОВЕРИТЬ И УЗНАТЬ.
Ответы
Ответ дал:
1
!!!!!!!!!!!!!!!!!!!!!!!!!!!!!!!!!!!!!!!
Приложения:
Вас заинтересует
1 год назад
1 год назад
2 года назад
2 года назад
3 года назад
3 года назад
9 лет назад
9 лет назад