Ответы
Ответ дал:
0
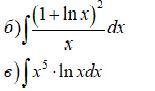
Посмотрите предложенное решение. Решение первого задания базируется на подведении под знак дифференциала, второго - по частям.
Приложения:

Вас заинтересует
1 год назад
1 год назад
1 год назад
3 года назад
8 лет назад