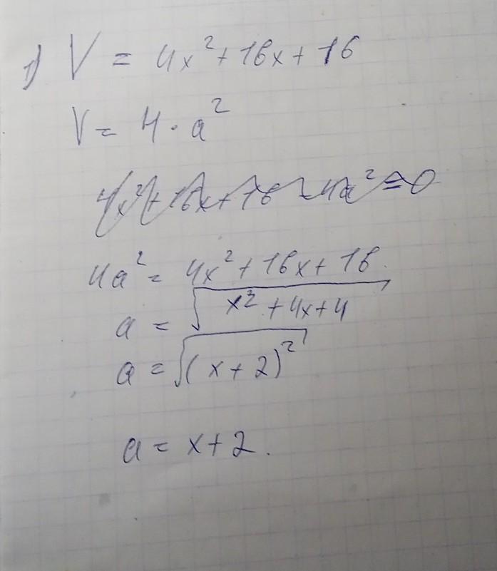
Вырази ребро при основании правильной прямой призмы, если даны боковое ребро и объем этой призмы.
Приложения:

Ответы
Ответ дал:
2
вроде так, если нужны объяснения, могу дать
Приложения:


Вас заинтересует
1 год назад
1 год назад
1 год назад
1 год назад
3 года назад
8 лет назад