• Предмет: Алгебра
  • Автор: jhfdde
  • Вопрос задан 2 года назад

Как это решить ? Помогите кто-нибудь разобрать это лёгенькое уравнение

Приложения:

Ответы

Ответ дал: vijetuman
1

Ответ:

p = 11

Объяснение:

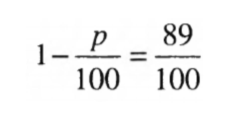
1 =  \frac{100}{100}  \\  \frac{100}{100} -  \frac{p}{100}  =  \frac{89}{100}  \\ p = 100 - 89 = 11


jhfdde: Ты извини) Главный мозг справился лучше) Слушай а какой программой ты писала так красиво??
vijetuman: а тут же так можно
vijetuman: в строке добавить формулу
jhfdde: Спасибо
jhfdde: И у меня такой вопрос. Нужны ли тебе баллы? И ради чего ты тут сидишь)
vijetuman: Иногда самой нужна помощь, да и если что-то знаю могу кому-то помочь :>
Ответ дал: lakOR555
1

Ответ:

см.фото

Объяснение:

Приложения:

jhfdde: Мозг главный) Помоги и с этим трешом https://znanija.com/task/33285575
Вас заинтересует