• Предмет: Алгебра
  • Автор: jhfdde
  • Вопрос задан 2 года назад

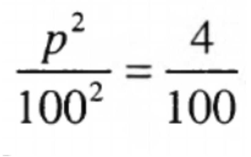
Как это решить ? Помогите кто-нибудь разобрать это лёгенькое уравнение. Срочно! Ребята

Приложения:

Ответы

Ответ дал: lakOR555
1

р²/10000 = 4/100

можно решить пропорцией

100*р²=4*10000

р²=40000/100

р²=400

р1=20

р2=-20

Ответ дал: Vika13284
1

Відповідь:

Р1 = -20; Р2 = 20

Пояснення:

Приложения:
Вас заинтересует