• Предмет: Математика
  • Автор: ineloh782371
  • Вопрос задан 2 года назад

Сократите СРОЧНО!!!​

Приложения:

Ответы

Ответ дал: Аноним
0

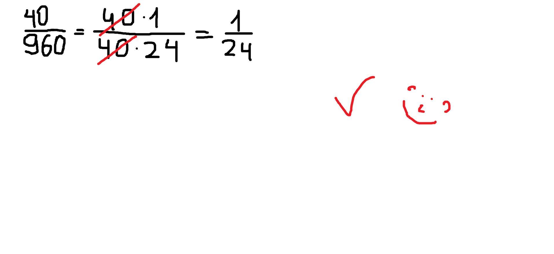
Ответ: 40/960=1/24

Пошаговое объяснение: ↓↓↓ удачи! ↓↓ :)

Приложения:
Вас заинтересует