• Предмет: Алгебра
  • Автор: alpinevika
  • Вопрос задан 2 года назад

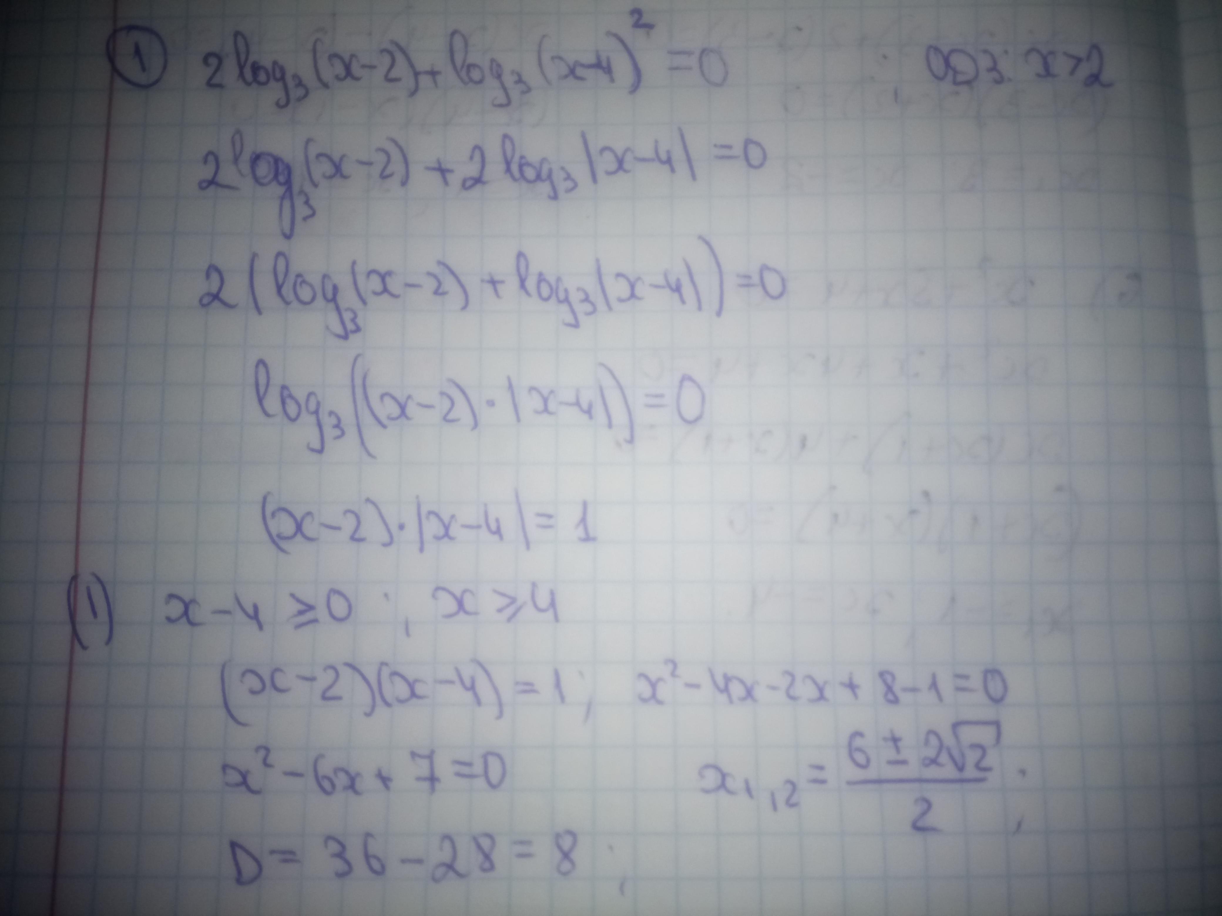
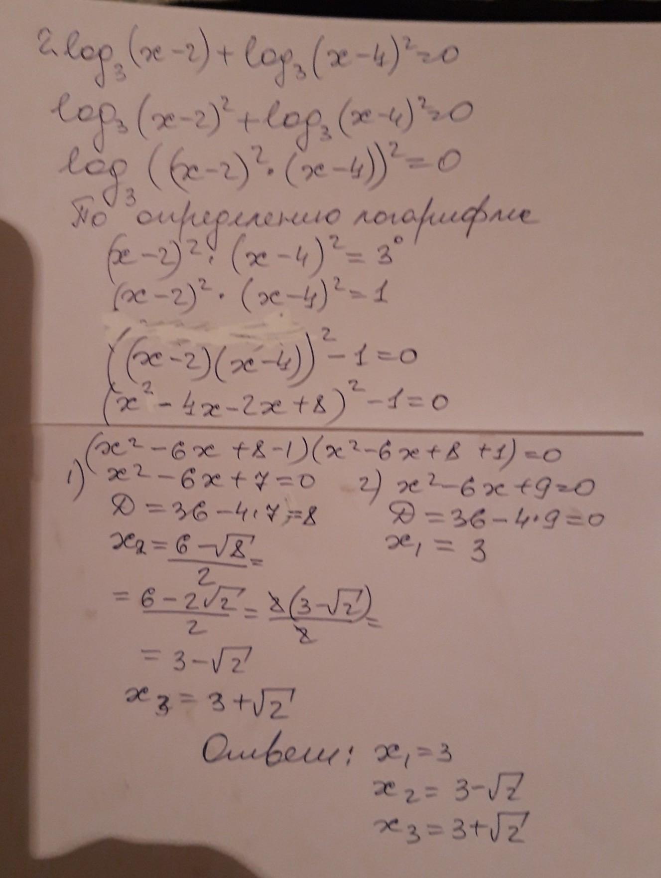
1) 2*log3(x-2)+log3(x-4)^2=0

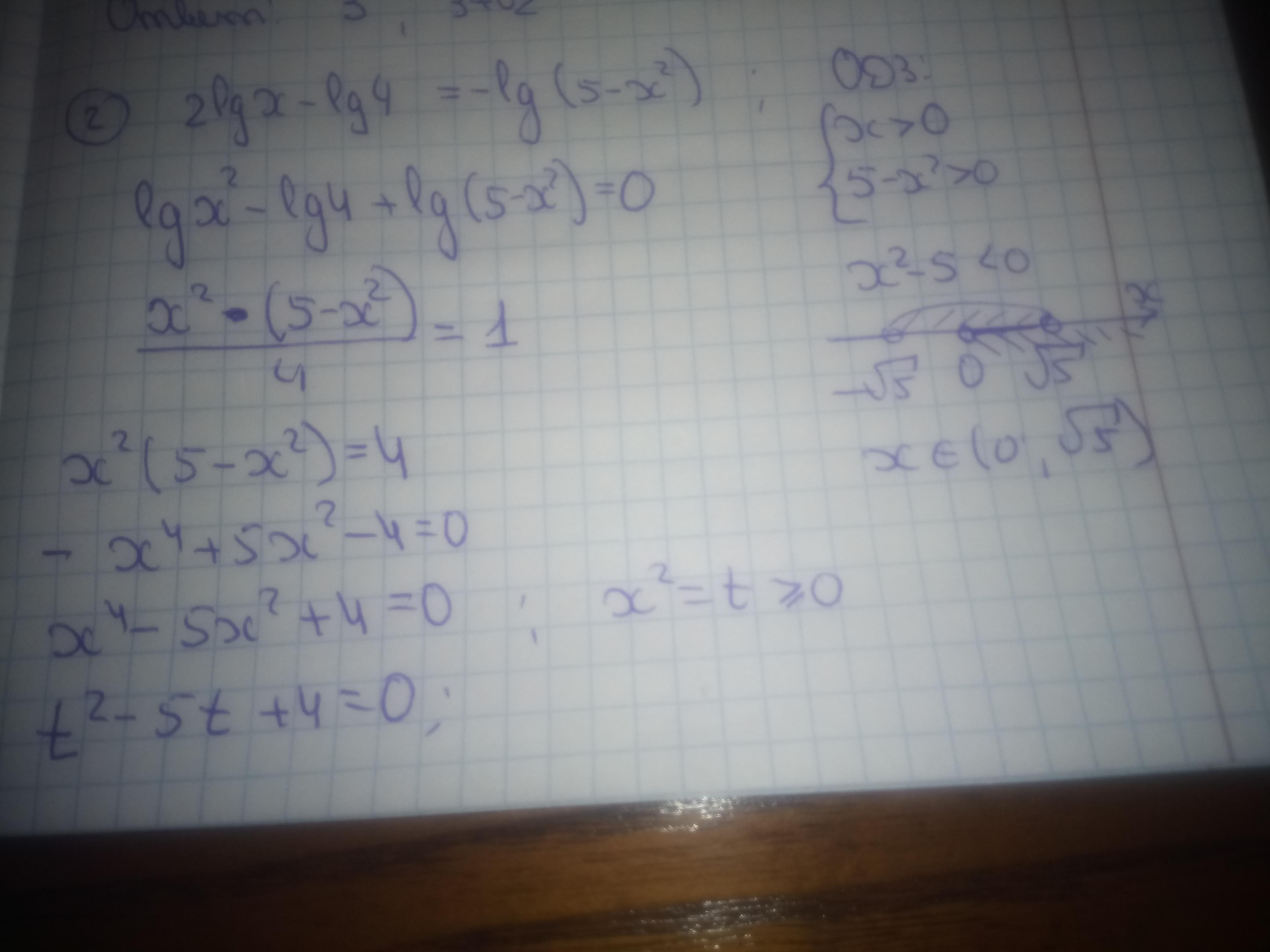
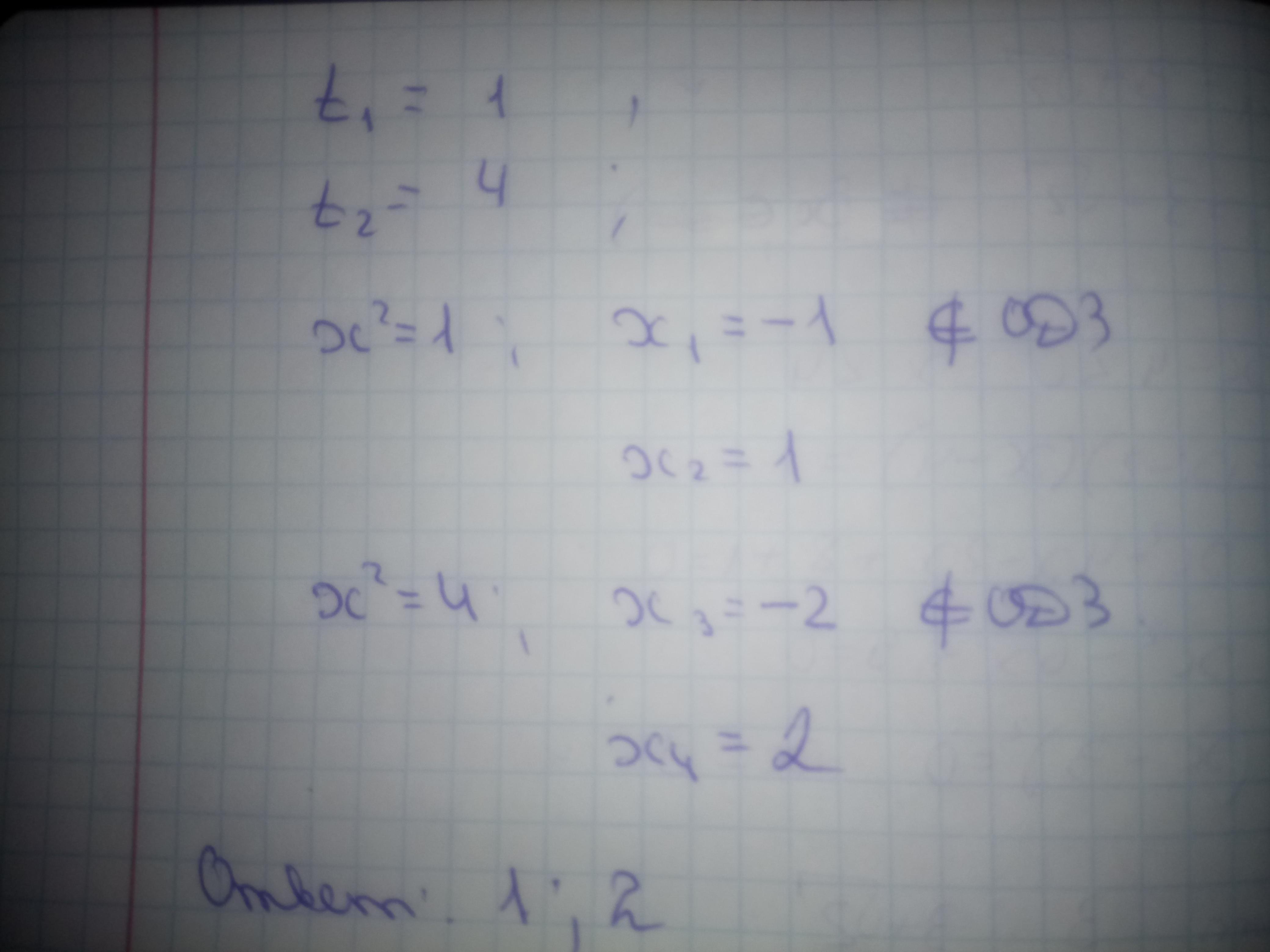
2) 2lg x - lg 4 = - lg (5 - x^2)

Ответы

Ответ дал: Аноним
1

Решение задания приложено

Приложения:
Ответ дал: sharofat0
0

Ответ:

1) х(1)=3

2)х(2)=3-2^1/2

3)х(3)=3+2^1/2

Приложения:

Аноним: 2 корня. 3-|/2 не является корнем уравнения. Это видно и по ОДЗ, и по ходу решения.
Аноним: Исправьте. Допишите ОДЗ и уберите посторонний корень
sharofat0: Спасибо
Вас заинтересует