• Предмет: Математика
  • Автор: Katyafedshuk
  • Вопрос задан 2 года назад

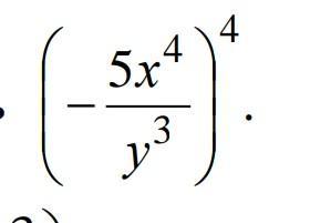
1.1 выполните возведение в степень:
( 2а³/с²) в 5 степень

Приложения:

Ответы

Ответ дал: papagenius
2

Пошаговое объяснение:

\displaystyle {\left({-\frac{{5{x^4}}}{{{y^3}}}}\right)^4}=\left({\frac{{{5^4}{x^{4*4}}}}{{{y^{3*4}}}}}\right)=\boxed{\frac{{625{x^{16}}}}{{{y^{12}}}}}

Вас заинтересует