• Предмет: Алгебра
  • Автор: dolgovsanya
  • Вопрос задан 2 года назад

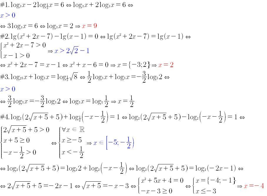
Нужно решить, при решении напишите все понятно. Знатоки помогайте.

Приложения:

Ответы

Ответ дал: igundane
0

///////////////////////////////////////

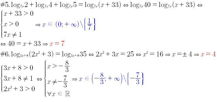
Приложения:
Вас заинтересует