Ответы
Ответ дал:
1
Ответ:
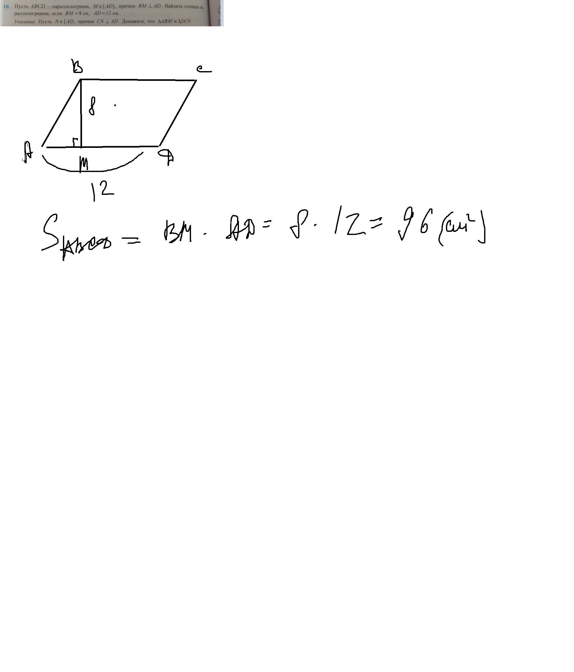
Объяснение:Помогите пожалуйста номер 10!!!
Приложения:

Вас заинтересует
1 год назад
1 год назад
1 год назад
3 года назад