Ответы
Ответ дал:
3
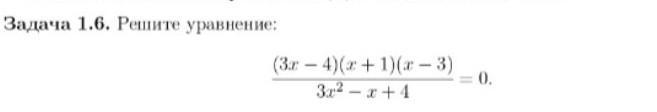
Одз:
3x^2-x+4=o
D=отриц , следовательно x€R
3x^2-x+4=o
D=отриц , следовательно x€R
Приложения:

Ответ дал:
0
Ответ:x1=2 x2=3 x3=3
Объяснение:
Вас заинтересует
1 год назад
1 год назад
1 год назад
1 год назад
3 года назад
3 года назад