• Предмет: Математика
  • Автор: example12241
  • Вопрос задан 2 года назад

КОРЕНЬ СТЕПЕНИ N ОЧЕНЬ НУЖНА ВАША ПОМОЩЬ!! 100 БВАЛЛОВ

Приложения:

Ответы

Ответ дал: 1000FORMSofFEAR
2

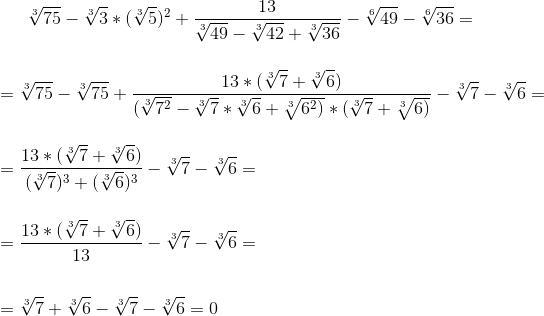
\sqrt[3]{75} - \sqrt[3]{3} * (\sqrt[3]{5})^{2} + \frac{13}{\sqrt[3]{49} - \sqrt[3]{42} + \sqrt[3]{36}} - \sqrt[6]{49} - \sqrt[6]{36} = \sqrt[3]{75}  - \sqrt[3]{75} +  \frac{13 * (\sqrt[3]{7} + \sqrt[3]{6})}{(\sqrt[3]{7^{2}} - \sqrt[3]{7}  *  \sqrt[3]{6} + \sqrt[3]{6^{2})} * (\sqrt[3]{7} + \sqrt[3]{6)}}  -  \sqrt[3]{7} -   \sqrt[3]{6}  = \frac{13 * (\sqrt[3]{7} + \sqrt[3]{6}) }{(\sqrt[3]{7})^{3} +  (\sqrt[3]{6})^{3}} -  \sqrt[3]{7} -   \sqrt[3]{6} = \frac{13 * (\sqrt[3]{7} + \sqrt[3]{6}) }{13} - \sqrt[3]{7} -   \sqrt[3]{6} = \sqrt[3]{7} + \sqrt[3]{6} - \sqrt[3]{7} -   \sqrt[3]{6} = 0

Приложения:
Вас заинтересует