• Предмет: Математика
  • Автор: maxim472
  • Вопрос задан 2 года назад

от этого зависит оценка в полугодии,помогите пожалуйста!! алгебра 10 класс,6-й и 7-й номер
дам много баллов!!!!​
ещё могу помочь с английским!!!!

Приложения:

Аноним: Я написала модератору, сейчас должны удалить.
maxim472: спасибо огромное! я-то пока плохо разбираюсь в сайте
optimusmegatron7: valenvian а сколько вам лет?
Аноним: мдам
Аноним: сама толком не ответила, и отсылает жалобь
Аноним: ы*
maxim472: я Ксения,мне 16,попросила у брата телефон,на котором есть Brainly☺
optimusmegatron7: потому что я и другой человек который видимо дал неверный ответ засорили ответы и она не может дать свой ответ
maxim472: огромное спасибо,Valenivan!
Аноним: Для ответов только два поля. В самом поле не пишут коменты. Пишут под вопросом. Вот здесь, где мы ведём переписку.

Ответы

Ответ дал: Аноним
2

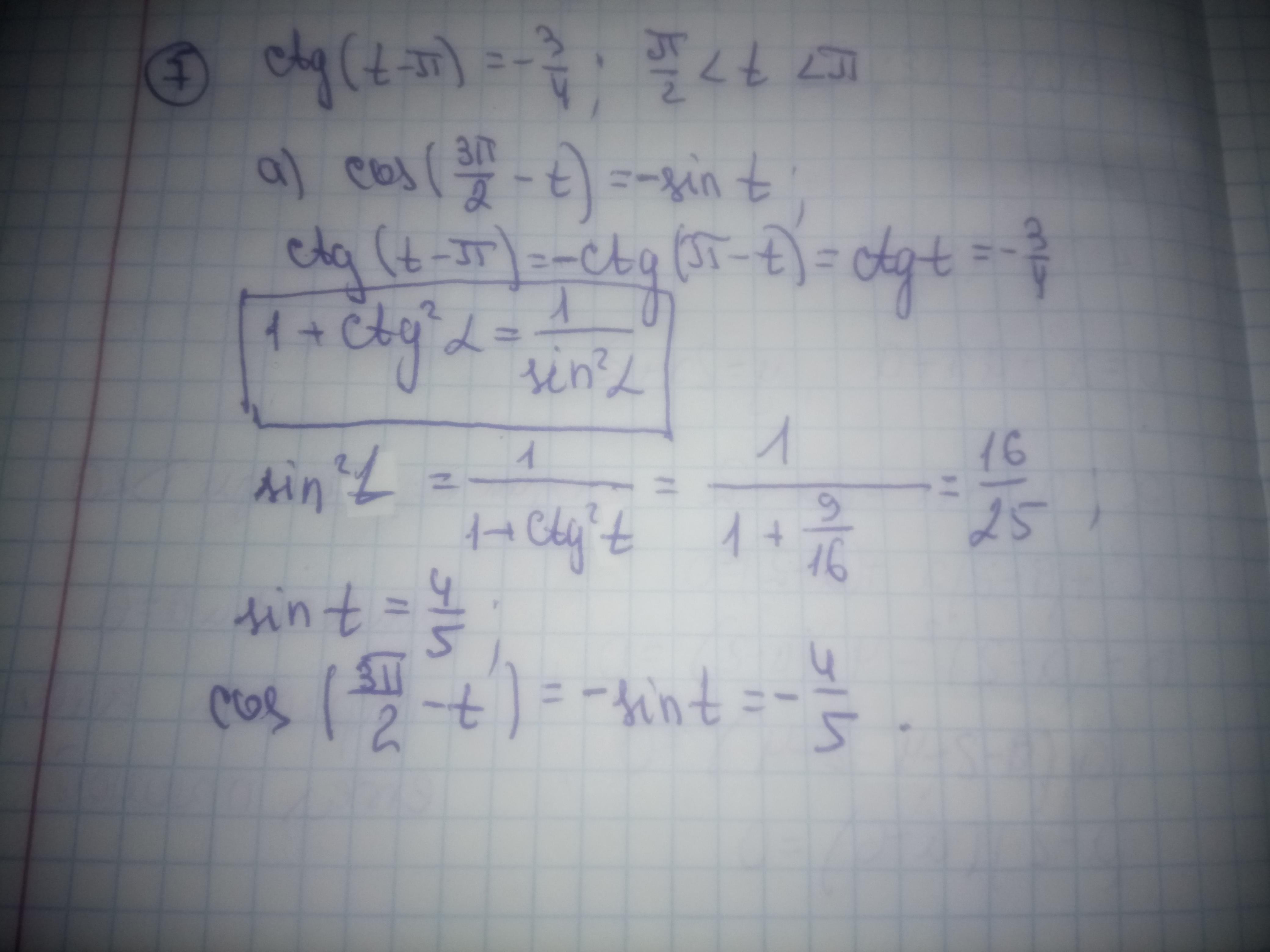
Решение задания приложено

Приложения:

maxim472: огромное спасибо! сколько вам лет?
optimusmegatron7: 13
Аноним: Пусть будет 18.
elizabeth4263: пожалуйста помогите с моими вопросами
elizabeth4263: 8 класс" математика' можете найти в моём профиле •50 баллов пожалуйста
Аноним: Сейчас на смене Takushnir, он решает всем подряд. Сейчас поможет. Спокойной ночи.
Ответ дал: Аноним
2

Ответ: во вложении Пошаговое объяснение:

Приложения:

alana1578: пожалуйста срочно нужно решить математику
alana1578: времени очень мало' пожалуйста хелп ^^
Вас заинтересует