• Предмет: Математика
  • Автор: gajsinazena
  • Вопрос задан 2 года назад

Х2-12х+35=0
решить через дискриминант

Ответы

Ответ дал: anastasiakovalenko
0

Ответ:

Решение через дискриминант

Приложения:
Ответ дал: Аноним
2
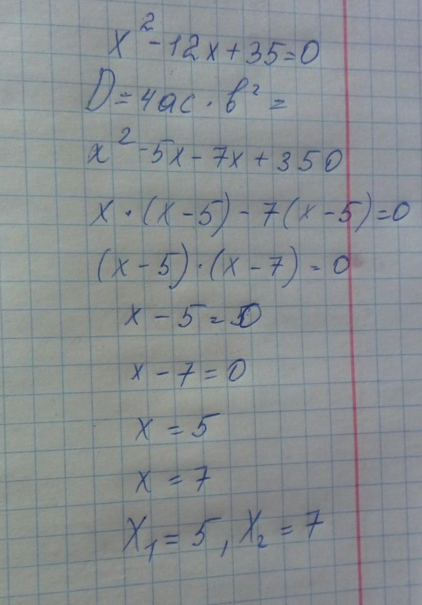
решение уравнения на фотке
Приложения:
Вас заинтересует