• Предмет: Алгебра
  • Автор: kislosheev
  • Вопрос задан 2 года назад

решите пожалуйста алгебру​.даю 65 баллов

Приложения:

Ответы

Ответ дал: tamarabernukho
3

Ответ:

Объяснение:

\displaystyle\\\sqrt{a+2\sqrt{a-1} } +\sqrt{a-2\sqrt{a-1} }=\\ \\ \sqrt{a+\sqrt{4a-4} }+\sqrt{a-\sqrt{4a-4} }=\\ \\ \sqrt{\frac{a+\sqrt{a^2-(4a-4)} }{2} }+ \sqrt{\frac{a-\sqrt{a^2-(4a-4)} }{2} }+\\\\  +\sqrt{\frac{a+\sqrt{a^2-(4a-4)} }{2} }-\sqrt{\frac{a-\sqrt{a^2-(4a-4)} }{2} }=\\ \\ 2*\sqrt{\frac{a+\sqrt{a^2-4a+4)} }{2} }=2*\sqrt{\frac{a+|a-2| }{2} }\\ \\

если a≥2

\displaystyle\\2\sqrt{\frac{a+a-2 }{2} }=2\sqrt{a-1}} \\ \\

если 1≤a<2

\displaystyle\\2\sqrt{\frac{a-a+2 }{2} }=2\\ \\

-------------------------------------------------------------------------------

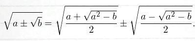
формула сложных радикалов на фото

Приложения:

hugghhh: 40 баллов
СРОЧНОООООО........​ПОЖАЛУЙСТА
https://znanija.com/task/33334454?utm_source=android&utm_medium=share&utm_campaign=question
hugghhh: Срочно
hugghhh: зделаю лучшим отв
Вас заинтересует