Ответы
Ответ дал:
0
Ответ:
слишко
Пошаговое объяснение:
м сложно
Ответ дал:
1
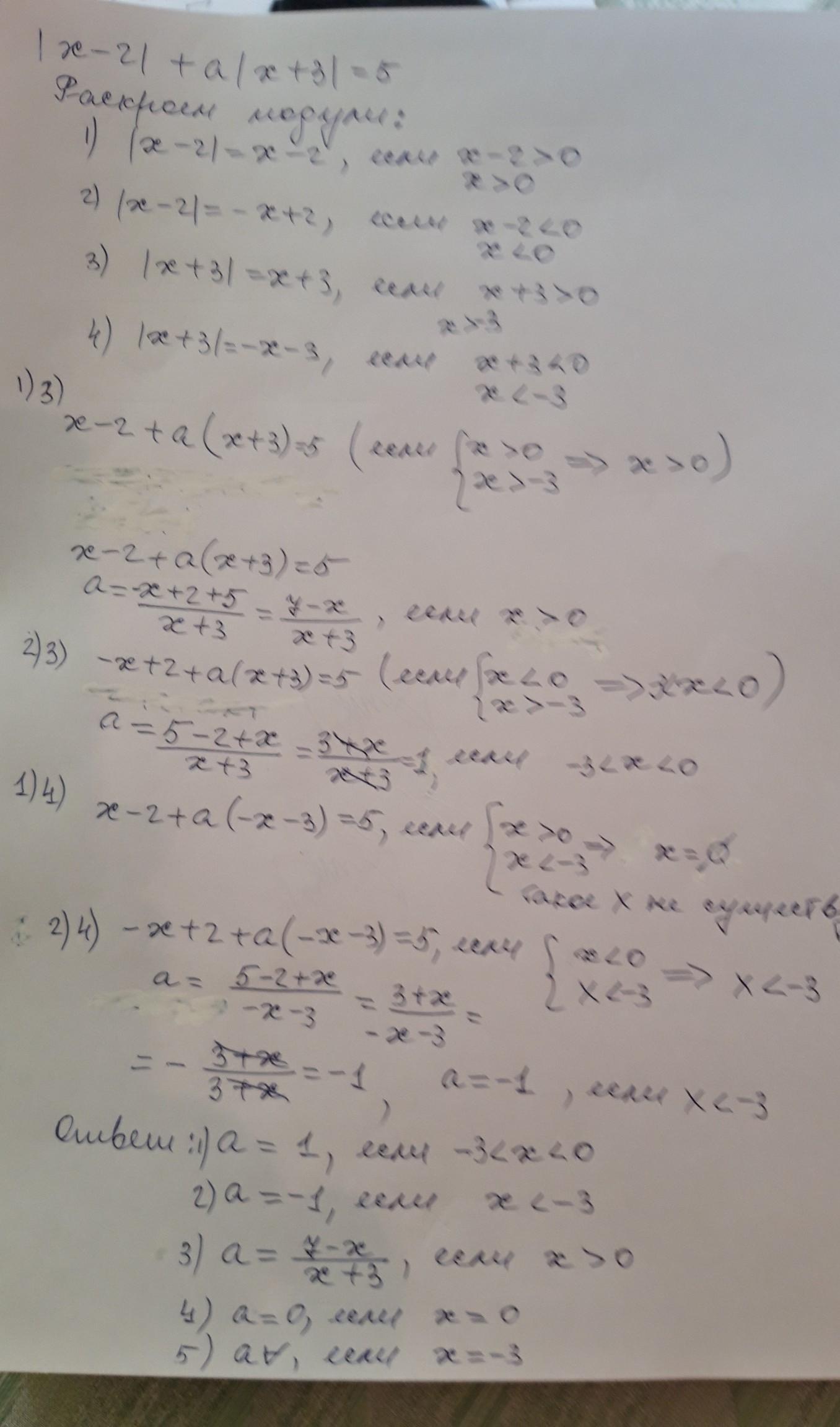
Ответ:
решение уравнения с параметром
Приложения:

Вас заинтересует
1 год назад
1 год назад
1 год назад
1 год назад
3 года назад
3 года назад