• Предмет: Математика
  • Автор: tatyana66654
  • Вопрос задан 2 года назад

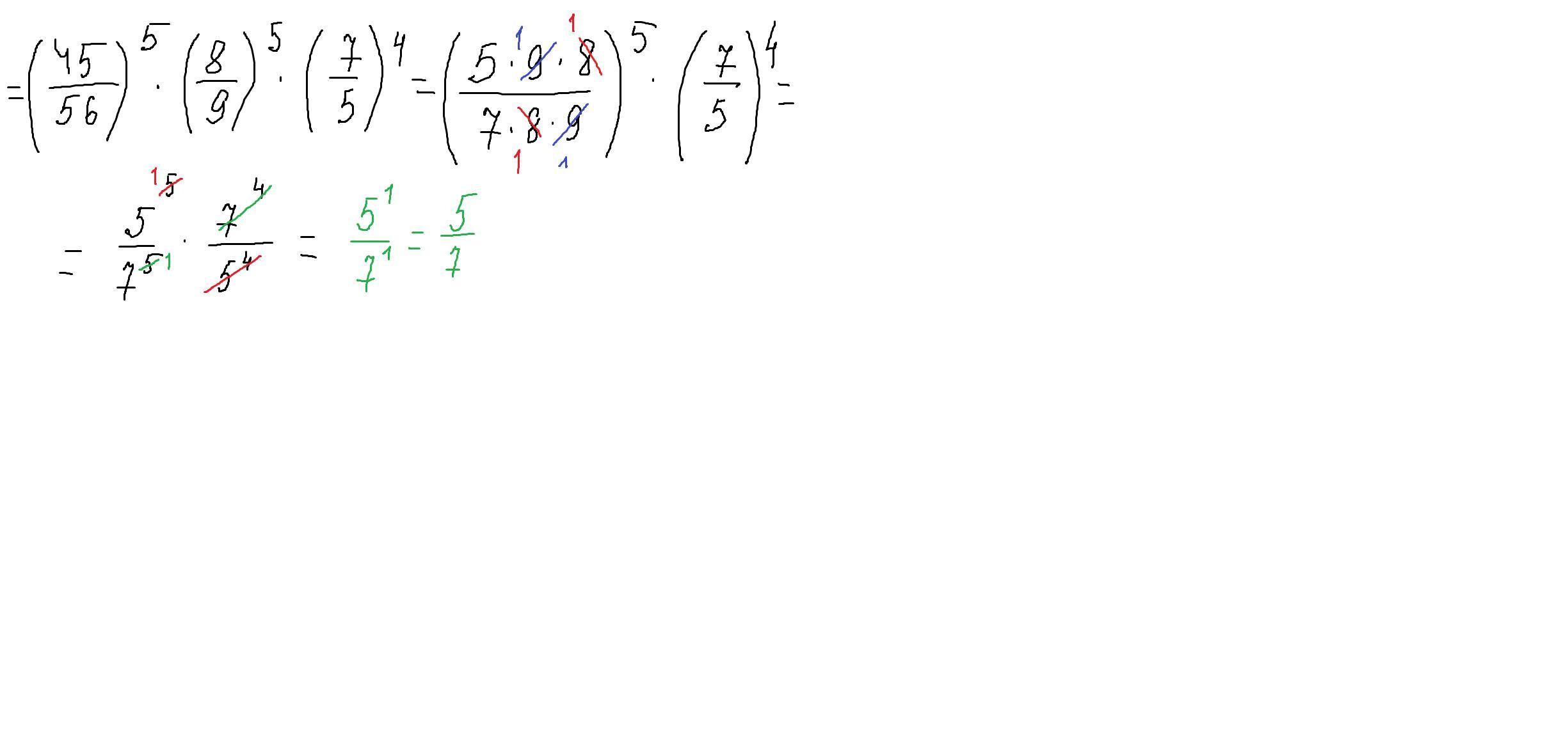
Помогите решить пример. ​

Приложения:

Ответы

Ответ дал: parus77
1

Ответ:

Пошаговое объяснение:

Приложения:
Вас заинтересует