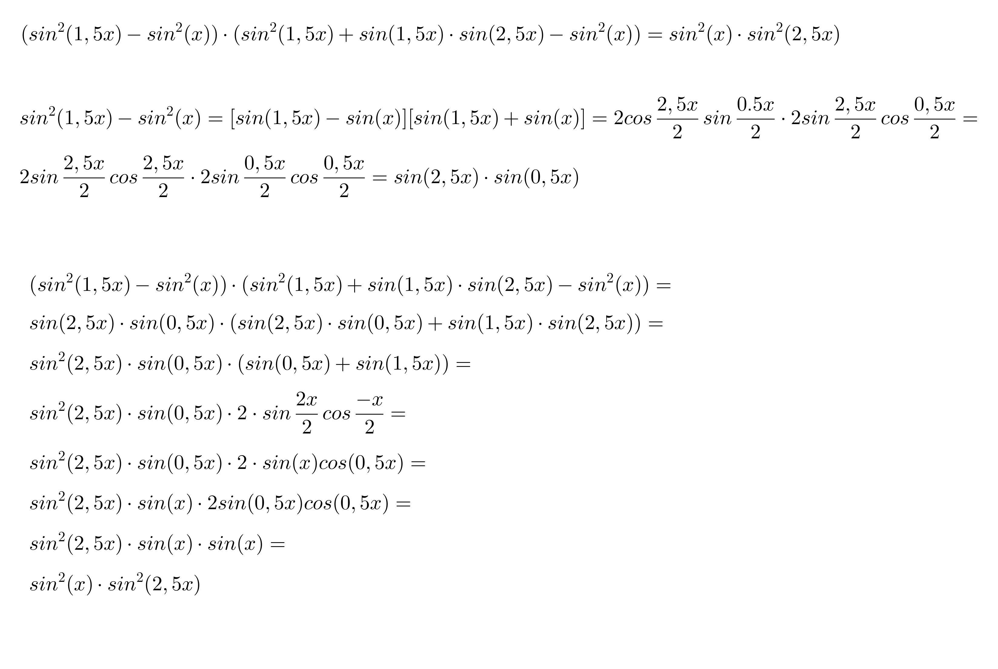
ДАЮ 100 БАЛЛОВ! Докажите тождество sin^2(1.5x)-sin^2(x))*(sin^2(1.5x)+sin(1.5x)*sin(2.5x)-sin^2(x))=sin^2(x)*sin^2(2.5x)
Ответы
Ответ дал:
0
Ответ в файле
………………………..
Приложения:

Akpp190:
ты мой жизн ты мой рай
Вас заинтересует
1 год назад
1 год назад
1 год назад
1 год назад
3 года назад
3 года назад
8 лет назад