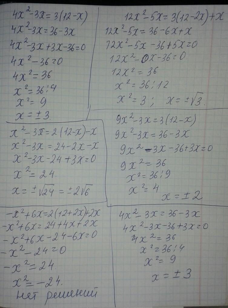
Найдите корни уравнений
1) 4х^2 – 3x = 3 (12 – х);
2) 12х^2 – 5х = 3(12 – 2x) +x;
3) x^2 – 3x = 2(12 - x) - x;
4) 9х^2 – 3x = 3(12 – х);
5) -x^2+ 6x = 2(12 + 2x) + 2x; 6) 4х^2 – 3x = 36 – 3х.
Ответы
Ответ дал:
43
решение на фоте...................
Приложения:

katyromanenko5656:
спасибо большое
Вас заинтересует
1 год назад
1 год назад
1 год назад
1 год назад
3 года назад
3 года назад
8 лет назад