• Предмет: Математика
  • Автор: milica81
  • Вопрос задан 2 года назад

РЕШИТЕ ПОЖАЛУЙСТА.НА ЛИСТОЧКЕ.

Приложения:

Ответы

Ответ дал: riwww76
1
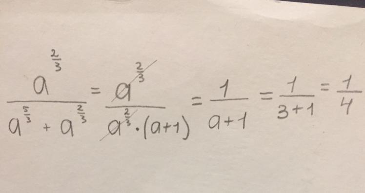
Методом выноса наименьшего общего множителя за скобку
Приложения:
Вас заинтересует