Ответы
Ответ дал:
2
Ответ:
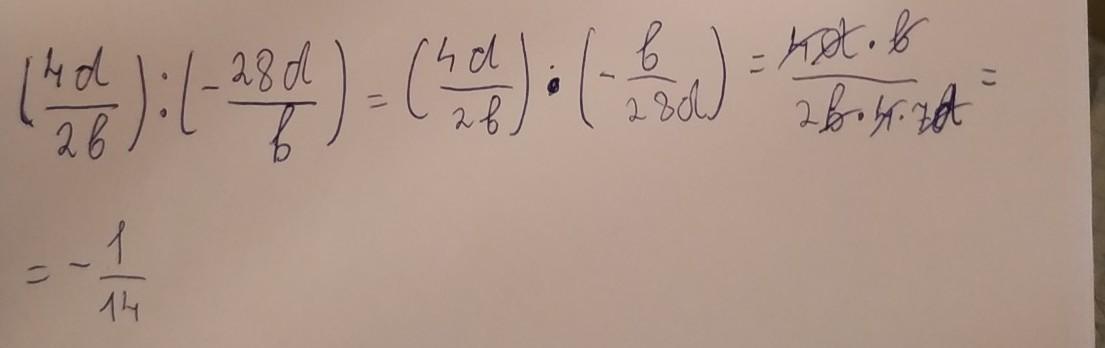
- 1/14
Объяснение:
ответ на фото.........
Приложения:

Вас заинтересует
1 год назад
1 год назад
1 год назад
1 год назад
3 года назад
8 лет назад
8 лет назад