• Предмет: Математика
  • Автор: semauvarov02
  • Вопрос задан 2 года назад

Помогите пожалуйста решить

Приложения:

ctoo13: 5 - 9 класс? ммммм

Ответы

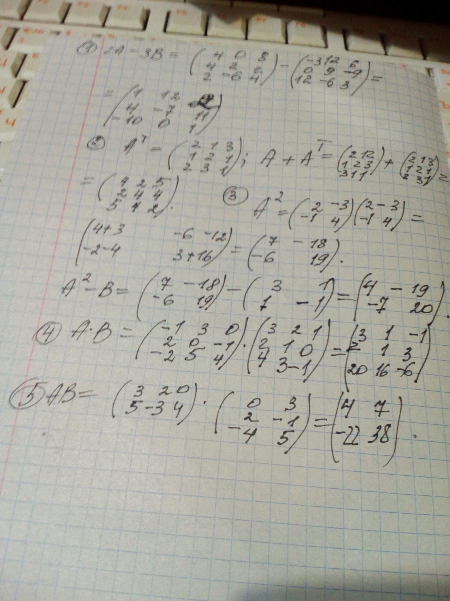
Ответ дал: Аноним
1

Ответ: во вложении Пошаговое объяснение:

Перемножаем матрицы, как вектора, первую координату на первую, вторую на вторую.. и т.д. и результаты складываем. Помните, как в школе, скалярное произведение векторов находили?

Приложения:

semauvarov02: Спасибо ! Подскажи пожалуйста что у тебя написано в 4 задании в ответе?
semauvarov02: 3 1 -1
2 1 3
20 16 6
semauvarov02: ???
Аноним: Первая строка 3 1 -1, вторая строка 2 1 3, третья 20 16 6.
Вас заинтересует