• Предмет: Математика
  • Автор: maxnikit03
  • Вопрос задан 2 года назад

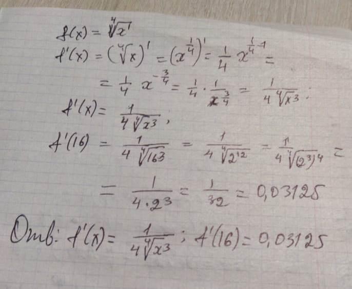
Найдите: а) f(x);б) f(16), если f(x)=корень четвёртой степени из x

Приложения:

Ответы

Ответ дал: terikovramazan
1

Ответ:1/\sqrt[4]{x^3}; 0,03125

Пошаговое объяснение:

Приложения:
Вас заинтересует