• Предмет: Алгебра
  • Автор: arkadiysudakov00
  • Вопрос задан 2 года назад

Помогите решить пределы.

Приложения:

Ответы

Ответ дал: igundane
0

В первом использовал второй замечательный предел

Во втором показал что степень стремиться к бесконечности

Приложения:

arkadiysudakov00: По моему тут решен лишь один предел из двух.
Ответ дал: Indentuum
1

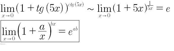
1)

\lim\limits_{x \to 0} (1 + \tan(5x))^\cot(5x)

Воспользуемся эквивалентами бесконечно малых:

\tan(5x) \sim 5x

В итоге получится второй замечательный предел:

\lim\limits_{x \to 0} (1 + 5x)^\frac{1}{5x} = e

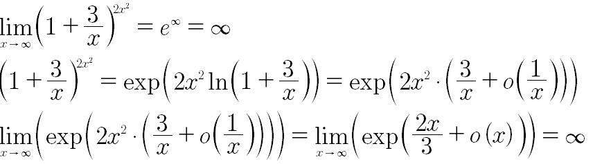
2)

\lim\limits_{x \to \infty} (1 + \frac{3}{x})^{2x^2} = \lim\limits_{x \to \infty} (\underbrace{((1 + \frac{3}{x})^\frac{x}{3}}_{e})^\frac{3}{x})^{2x^2} = \lim\limits_{x \to \infty} e^\frac{6x^2}{x} = e^\infty = \infty


igundane: Извиняюсь ,я просто слепой
Indentuum: Это у Вас ошибка.
Вам надо было исправить опечатку (2 - x^2) на (2x^2), а вы всё переделали
igundane: Исправил
arkadiysudakov00: Это вот выше вы хотите сказать,что полное решение? Мне нужно полное.....
arkadiysudakov00: В первом примере вообще не понятно решение.И нету полного.
igundane: Второй замечательный предел! Всё предельно ясно написал человек! Прочитайте хотя бы теорию по пределам
arkadiysudakov00: Это краткое решение и есть првильный ответ ? Мне надо решить эти пределы не пользуясь правилом Лопиталя с подробным расписанием и решением
igundane: Да никто тут не использовал правило Лопиталя! Мне кажется вы просто выучили это слово "Лопиталь" и даже не понимаете ,что оно значит и не видите когда его применяют
arkadiysudakov00: Так я и говорю что эти краткие решения и есть правильный ответ ?!
igundane: Да!
Вас заинтересует